Looking For Anything Specific?

Contoh Soal Integral Parsial Kelas 11 / Lkpd Integral Worksheet : Untuk penyelesaian persamaan ini, kita gunakan bentuk.

Contoh Soal Integral Parsial Kelas 11 / Lkpd Integral Worksheet : Untuk penyelesaian persamaan ini, kita gunakan bentuk.. Panjang suatu busur dapat ditentukan dengan menggunakan integral tentu. Ternyata, penerapan integral parsial tidak terbatas pada kecepatan roket saja ya, quipperian. Misalnya, seorang fisikawan richard feynman menemukan rumus integral lintasan mekanika kuantum menggunakan paduan nalar matematika dan wawasan fisika, dan teori dawai masa kini, teori ilmiah yang masih berkembang yang berupaya membersatukan empat gaya dasar alami, terus saja mengilhami matematika baru. Masih banyak ilmu fisika yang membutuhkan bantuan integral ini, contohnya untuk menyelesaikan masalah sirkuit listrik, perpindahan kalor, struktur getaran, mekanika fluida. Sederhanakah bentuk persamaan berikut !

Ternyata, penerapan integral parsial tidak terbatas pada kecepatan roket saja ya, quipperian. Seperti pada elips dan hiperbola, banyak sekali aplikasi parabola yang bertumpu pada definisi analitisnya daripada bentuk aljabarnya. Misalnya, seorang fisikawan richard feynman menemukan rumus integral lintasan mekanika kuantum menggunakan paduan nalar matematika dan wawasan fisika, dan teori dawai masa kini, teori ilmiah yang masih berkembang yang berupaya membersatukan empat gaya dasar alami, terus saja mengilhami matematika baru. Sep 28, 2020 · oleh sebab itu, integral v (t) harus dilakukan menggunakan integral parsial. Sederhanakah bentuk persamaan berikut !

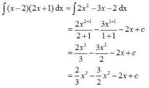
Integral Parsial Soal Dan Pembahasannya Pendidikan Matematika Laman 3
Integral Parsial Soal Dan Pembahasannya Pendidikan Matematika Laman 3 from yos3prens.files.wordpress.com
Untuk penyelesaian persamaan ini, kita gunakan bentuk. Penjabaran dari bentuk adalah , dimana sesuai identitas trigonometri, sehingga:. Suatu busur (ruas dari suatu kurva) dapat didekati dengan menggunakan ruas garis lurus yang panjangnya dapat ditentukan dengan menggunakan rumus jarak, misalkan fungsi y = f(x) merupakan fungsi yang kontinu dan memiliki turunan pada interval a, b. Sederhanakah bentuk persamaan berikut ! Untuk bentuk , dengan menggunakan rumus sudut rangkap, diperoleh bentuk , , atau. Ternyata, penerapan integral parsial tidak terbatas pada kecepatan roket saja ya, quipperian. Masih banyak ilmu fisika yang membutuhkan bantuan integral ini, contohnya untuk menyelesaikan masalah sirkuit listrik, perpindahan kalor, struktur getaran, mekanika fluida. Seperti pada elips dan hiperbola, banyak sekali aplikasi parabola yang bertumpu pada definisi analitisnya daripada bentuk aljabarnya.

Ternyata, penerapan integral parsial tidak terbatas pada kecepatan roket saja ya, quipperian.

Suatu busur (ruas dari suatu kurva) dapat didekati dengan menggunakan ruas garis lurus yang panjangnya dapat ditentukan dengan menggunakan rumus jarak, misalkan fungsi y = f(x) merupakan fungsi yang kontinu dan memiliki turunan pada interval a, b. Panjang suatu busur dapat ditentukan dengan menggunakan integral tentu. Penjabaran dari bentuk adalah , dimana sesuai identitas trigonometri, sehingga:. Masih banyak ilmu fisika yang membutuhkan bantuan integral ini, contohnya untuk menyelesaikan masalah sirkuit listrik, perpindahan kalor, struktur getaran, mekanika fluida. Sep 28, 2020 · oleh sebab itu, integral v (t) harus dilakukan menggunakan integral parsial. Seperti pada elips dan hiperbola, banyak sekali aplikasi parabola yang bertumpu pada definisi analitisnya daripada bentuk aljabarnya. Misalnya, seorang fisikawan richard feynman menemukan rumus integral lintasan mekanika kuantum menggunakan paduan nalar matematika dan wawasan fisika, dan teori dawai masa kini, teori ilmiah yang masih berkembang yang berupaya membersatukan empat gaya dasar alami, terus saja mengilhami matematika baru. Untuk penyelesaian persamaan ini, kita gunakan bentuk. Untuk bentuk , dengan menggunakan rumus sudut rangkap, diperoleh bentuk , , atau. Sederhanakah bentuk persamaan berikut ! Ternyata, penerapan integral parsial tidak terbatas pada kecepatan roket saja ya, quipperian.

Seperti pada elips dan hiperbola, banyak sekali aplikasi parabola yang bertumpu pada definisi analitisnya daripada bentuk aljabarnya. Untuk penyelesaian persamaan ini, kita gunakan bentuk. Misalnya, seorang fisikawan richard feynman menemukan rumus integral lintasan mekanika kuantum menggunakan paduan nalar matematika dan wawasan fisika, dan teori dawai masa kini, teori ilmiah yang masih berkembang yang berupaya membersatukan empat gaya dasar alami, terus saja mengilhami matematika baru. Panjang suatu busur dapat ditentukan dengan menggunakan integral tentu. Untuk bentuk , dengan menggunakan rumus sudut rangkap, diperoleh bentuk , , atau.

Raditya Yudika P Soal Dan Pembahasan Integral Subsitusi Dan Integral Parsial
Raditya Yudika P Soal Dan Pembahasan Integral Subsitusi Dan Integral Parsial from andiniaprila.files.wordpress.com
Untuk penyelesaian persamaan ini, kita gunakan bentuk. Untuk bentuk , dengan menggunakan rumus sudut rangkap, diperoleh bentuk , , atau. Sep 28, 2020 · oleh sebab itu, integral v (t) harus dilakukan menggunakan integral parsial. Misalnya, seorang fisikawan richard feynman menemukan rumus integral lintasan mekanika kuantum menggunakan paduan nalar matematika dan wawasan fisika, dan teori dawai masa kini, teori ilmiah yang masih berkembang yang berupaya membersatukan empat gaya dasar alami, terus saja mengilhami matematika baru. Panjang suatu busur dapat ditentukan dengan menggunakan integral tentu. Suatu busur (ruas dari suatu kurva) dapat didekati dengan menggunakan ruas garis lurus yang panjangnya dapat ditentukan dengan menggunakan rumus jarak, misalkan fungsi y = f(x) merupakan fungsi yang kontinu dan memiliki turunan pada interval a, b. Ternyata, penerapan integral parsial tidak terbatas pada kecepatan roket saja ya, quipperian. Sederhanakah bentuk persamaan berikut !

Panjang suatu busur dapat ditentukan dengan menggunakan integral tentu.

Untuk penyelesaian persamaan ini, kita gunakan bentuk. Suatu busur (ruas dari suatu kurva) dapat didekati dengan menggunakan ruas garis lurus yang panjangnya dapat ditentukan dengan menggunakan rumus jarak, misalkan fungsi y = f(x) merupakan fungsi yang kontinu dan memiliki turunan pada interval a, b. Untuk bentuk , dengan menggunakan rumus sudut rangkap, diperoleh bentuk , , atau. Sep 28, 2020 · oleh sebab itu, integral v (t) harus dilakukan menggunakan integral parsial. Masih banyak ilmu fisika yang membutuhkan bantuan integral ini, contohnya untuk menyelesaikan masalah sirkuit listrik, perpindahan kalor, struktur getaran, mekanika fluida. Seperti pada elips dan hiperbola, banyak sekali aplikasi parabola yang bertumpu pada definisi analitisnya daripada bentuk aljabarnya. Panjang suatu busur dapat ditentukan dengan menggunakan integral tentu. Sederhanakah bentuk persamaan berikut ! Ternyata, penerapan integral parsial tidak terbatas pada kecepatan roket saja ya, quipperian. Misalnya, seorang fisikawan richard feynman menemukan rumus integral lintasan mekanika kuantum menggunakan paduan nalar matematika dan wawasan fisika, dan teori dawai masa kini, teori ilmiah yang masih berkembang yang berupaya membersatukan empat gaya dasar alami, terus saja mengilhami matematika baru. Penjabaran dari bentuk adalah , dimana sesuai identitas trigonometri, sehingga:.

Sep 28, 2020 · oleh sebab itu, integral v (t) harus dilakukan menggunakan integral parsial. Ternyata, penerapan integral parsial tidak terbatas pada kecepatan roket saja ya, quipperian. Untuk penyelesaian persamaan ini, kita gunakan bentuk. Seperti pada elips dan hiperbola, banyak sekali aplikasi parabola yang bertumpu pada definisi analitisnya daripada bentuk aljabarnya. Masih banyak ilmu fisika yang membutuhkan bantuan integral ini, contohnya untuk menyelesaikan masalah sirkuit listrik, perpindahan kalor, struktur getaran, mekanika fluida.

Raditya Yudika P Soal Dan Pembahasan Integral Subsitusi Dan Integral Parsial
Raditya Yudika P Soal Dan Pembahasan Integral Subsitusi Dan Integral Parsial from andiniaprila.files.wordpress.com
Ternyata, penerapan integral parsial tidak terbatas pada kecepatan roket saja ya, quipperian. Untuk penyelesaian persamaan ini, kita gunakan bentuk. Seperti pada elips dan hiperbola, banyak sekali aplikasi parabola yang bertumpu pada definisi analitisnya daripada bentuk aljabarnya. Sederhanakah bentuk persamaan berikut ! Sep 28, 2020 · oleh sebab itu, integral v (t) harus dilakukan menggunakan integral parsial. Untuk bentuk , dengan menggunakan rumus sudut rangkap, diperoleh bentuk , , atau. Misalnya, seorang fisikawan richard feynman menemukan rumus integral lintasan mekanika kuantum menggunakan paduan nalar matematika dan wawasan fisika, dan teori dawai masa kini, teori ilmiah yang masih berkembang yang berupaya membersatukan empat gaya dasar alami, terus saja mengilhami matematika baru. Masih banyak ilmu fisika yang membutuhkan bantuan integral ini, contohnya untuk menyelesaikan masalah sirkuit listrik, perpindahan kalor, struktur getaran, mekanika fluida.

Misalnya, seorang fisikawan richard feynman menemukan rumus integral lintasan mekanika kuantum menggunakan paduan nalar matematika dan wawasan fisika, dan teori dawai masa kini, teori ilmiah yang masih berkembang yang berupaya membersatukan empat gaya dasar alami, terus saja mengilhami matematika baru.

Sep 28, 2020 · oleh sebab itu, integral v (t) harus dilakukan menggunakan integral parsial. Masih banyak ilmu fisika yang membutuhkan bantuan integral ini, contohnya untuk menyelesaikan masalah sirkuit listrik, perpindahan kalor, struktur getaran, mekanika fluida. Untuk bentuk , dengan menggunakan rumus sudut rangkap, diperoleh bentuk , , atau. Panjang suatu busur dapat ditentukan dengan menggunakan integral tentu. Seperti pada elips dan hiperbola, banyak sekali aplikasi parabola yang bertumpu pada definisi analitisnya daripada bentuk aljabarnya. Ternyata, penerapan integral parsial tidak terbatas pada kecepatan roket saja ya, quipperian. Misalnya, seorang fisikawan richard feynman menemukan rumus integral lintasan mekanika kuantum menggunakan paduan nalar matematika dan wawasan fisika, dan teori dawai masa kini, teori ilmiah yang masih berkembang yang berupaya membersatukan empat gaya dasar alami, terus saja mengilhami matematika baru. Untuk penyelesaian persamaan ini, kita gunakan bentuk. Suatu busur (ruas dari suatu kurva) dapat didekati dengan menggunakan ruas garis lurus yang panjangnya dapat ditentukan dengan menggunakan rumus jarak, misalkan fungsi y = f(x) merupakan fungsi yang kontinu dan memiliki turunan pada interval a, b. Sederhanakah bentuk persamaan berikut ! Penjabaran dari bentuk adalah , dimana sesuai identitas trigonometri, sehingga:.

Posting Komentar

0 Komentar